Greenbank
Community United Church
Home
About Us
Greenbank Church
Seagrave Church
Greenbank History
Seagrave History
Minister
I’m New
Mission Statement
Baptismal Policy
Greenbank Marriage Policy
Seagrave Marriage Policy
Contact Us
Events
Greenbank Events
Seagrave Events
What We Do
Music
Greenbank Sunday School
Seagrave Sunday School
Seagrave Men's Breakfast Group
Greenbank U.C.W.
Seagrave U.C.W.
Calendar
Resources
Committees
Greenbank Greeters & Procedures
Seagrave Greeters & Procedures
Useful Links
Previous Newsletters
Misc Documents
Seagrave Documents
Meetings
Greenbank Local Board
Seagrave Local Board
Unified Board
Donate
Contact Us
Seagrave Session Sept. 17, 2025
Click here to view.
Seagrave Local Board Minutes June 18, 2025
Click here to view.
Seagrave AGM Meeting Minutes Feb. 19, 2025
Click here to view.
Seagrave Future Planning and Focus 2025
Click here to view.
Seagrave Stewards Minutes - January 22, 2025
Click here to view.
Seagrave Local Board Minutes - November 27, 2024
Click here to view.
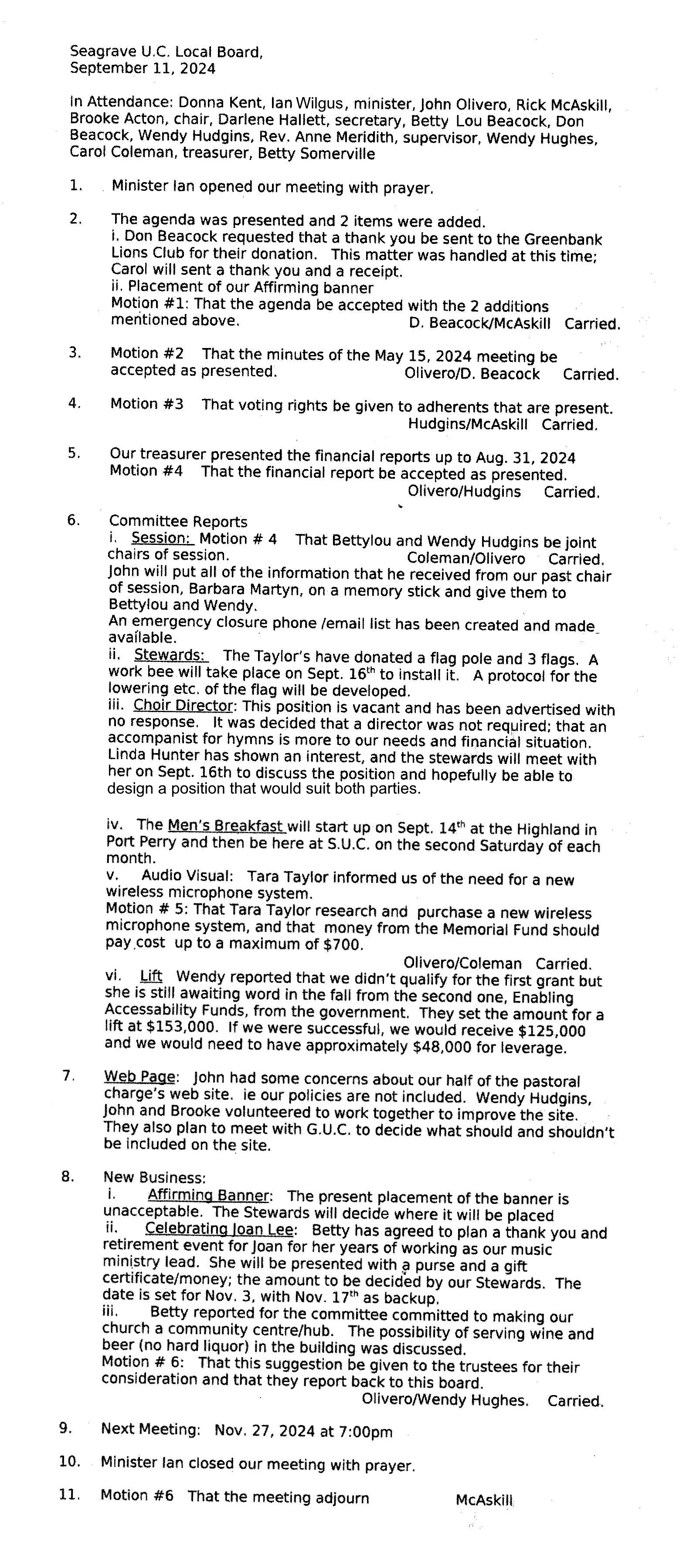
Seagrave Local Board Meeting - September 11, 2024
Click here to view.
Seagrave Stewards Meeting - October 2, 2024
Click here to view.
Seagrave Local Board Meeting - May 15, 2024
Click here to view.
Seagrave Session Minutes - March 22, 2024
Click here to view.
Seagrave Nomination and Committees 2024
Click here to view.
Greenbank United Church
19991 Hwy. 12
Greenbank,Ontario L0C 1B0
Seagrave United Church
15 Coryelle St.
Seagrave, Ontario L0C 1G0
© Greenbank/Seagrave United Churches